Research & Results
研究と業績
最近の発表論文
J. Am. Chem. Soc. 2026, published online
“Vapor-Induced Negative Expansion of Porous Cross-Linked Polymers Observed by Optical Resonance”
光共鳴により観測された蒸気誘起負膨張ポーラスクロスリンクポリマー
We report mesoporous cross-linked polymeric microspheres (PMS1:0.5) that undergo negative expansion upon the uptake of organic vapor. The microspheres were prepared by emulsifying an oil phase containing ethylene glycol dimethacrylate (EGDMA) as a cross-linkable monomer, 2,2-dimethoxy-2-phenylacetophenone (DMPA) as a photoinitiator, (+)-limonene as a template, and Nile Red as a fluorescent dye, followed by photocuring and extensive washing. The resulting PMS1:0.5 possesses mesopores with a Brunauer–Emmett–Teller surface area of 193 m2 g–1. Upon photoexcitation under a microscope, PMS1:0.5 displays luminescence due to homogeneously dispersed Nile Red, which is confined within the particle via total internal reflection and exhibits whispering gallery mode (WGM) optical resonance in the photoluminescence spectra. The WGM peaks blue-shift upon exposure to n-hexane vapor, indicating a contraction of PMS1:0.5 by −2.2% in diameter. Scanning electron micrographs and N2 sorption isotherms further corroborate the shrinkage of PMS1:0.5. The slight red-shift at lower vapor concentrations followed by an abrupt blue-shift at higher concentrations suggests that vapor condensation within the mesopores induces an inward Laplace pressure against the pore walls, which exceeds the elastic force of the polymer matrix and results in shrinkage.

Adv. Funct. Mater. 2026, e21674.
“Rational Device Design and Doping-Controlled Performance in Fast-Response π-Ion Gel Transistors”
高速応答πイオンゲルトランジスタにおける一般性のあるデバイスデザインとドーピング制御特性
Organic electrochemical transistors (OECTs) are attracting great attention for wearable and bioelectronic devices due to their mechanical flexibility, biocompatibility, and low-voltage operation. In our previous report, we introduced a new class of OECTs, π-ion gel transistors (PIGTs), as fast-response supramolecular transistors. Despite this proof-of-concept demonstration, the structure–property relationships governing charge transport and electrochemical performance have remained unclear. Moreover, key factors such as device geometry, material selection, and dopant effects have not been systematically investigated. Here, we comprehensively examine the structural and electronic parameters that determine PIGT performance. Volumetric capacitance spectroscopy clarifies the electrochemical doping mechanism and reveals distinct regimes of charge injection under gate bias. Using regio-regular poly(3-hexylthiophene) (P3HT) as a high-mobility channel polymer, PIGTs exhibit enhanced transconductance (2.96 mS). However, a relatively low on/off ratio arises from offset current caused by intrinsic oxidation. To address this, 1,3-dimethyl-2-phenyl-2,3-dihydro-1H-benzimidazole (BIH) is employed as an n-type dopant, yielding substantial improvements in device stability and switching behavior (on/off ratio ∼3.4 × 104). Charge-transport dynamics are further elucidated by terahertz time-domain spectroscopy, which links electrochemical modulation to carrier conduction. Overall, these optimizations establish a robust device platform for PIGTs and highlight their potential for practical applications.

J. Phys. Chem. Lett. 2025, 16, 8570–8579.
“Fluidic Molecular Dynamics and Energy Relaxation Pathways in Solution-State Electronic Strong Coupling Using a High-Mode-Number Cavity”
液体状態の電子強結合における流動分子ダイナミクスとエネルギー緩和経路
Light-matter strong coupling (SC) has shown great potential for controlling the photophysical dynamics of molecules in recent years. Although various molecules have been used to study the laser-induced ultrafast dynamics under electronic strong coupling (ESC), nearly all measurements investigated solid molecular samples, while the impact of hybridized light-matter states on liquid phase molecular dynamics has been unexplored. Here, for the first time, we report the ultrafast dynamics of liquid-state molecules under ESC. Our transient absorption spectroscopy studies reveal the emergence of a fast decay component in liquid-state ESC, which cannot be observed in the same liquid system without a cavity. Furthermore, the depolarization kinetics is found to be accelerated, as revealed by resonant optical Kerr-effect (ROKE) spectroscopy, suggesting that energy migration occurs much faster than both the polariton lifetime and molecular rotational time constants. These findings offer critical insights into designing photochemical systems in the liquid state based on the photophysical properties of the strongly coupled molecules.

J. Mater. Chem. C 2025, 13, 13659-13663.
“Induced blue, green, and red-colour circularly polarized luminescence from single dye-doped homochiral poly(lactic acid) microspheres”
単一の蛍光色素を添加したホモキラルポル乳酸マイクロ球体からの青、緑、赤の誘起円偏光発光
Circularly polarized luminescence (CPL) can be induced by doping an achiral fluorescent dye into a chiral polymer matrix. Here, we demonstrate the supramolecular self-assembly of chiral poly(L-lactic acid) (PLLA) with the fluorescent dye, 9,10-bis(phenylethynyl)anthracene (BPEA), forming microspheres that generate CPL. As the BPEA concentration increases, the fluorescent colour shifts from blue to green and red, suggesting the formation of BPEA dimers and J-aggregates. The highest luminescent dissymmetry factor (glum) of 3.1 × 10−2 was obtained from the microsphere suspension at the BPEA/PLLA ratio of 0.1.

Mater. Adv. 2025, 6, 5030-5034.
“Monodisperse and size-modulable spherical optical resonators from synthetic polymers by inkjet printing toward applications under water”
インクジェット法により水中で応用可能な単分散でサイズ変調可能な合成ポリマー光共振器
Micro-spherical optical resonators with high monodispersity and size-modulability are produced from synthetic polymers using an inkjet printing method. The high surface smoothness and sphericity of the synthetic polymer particles contribute to the efficient light confinement inside the particles via whispering gallery mode (WGM) optical resonance in water, demonstrating their suitability for chemical and biological applications.

Sci. Technol. Adv. Mater. 2025, 26, 2509486.
“Microscopic observations of RGB circularly polarized luminescence from solid microspheres with liquid crystalline molecular order”
液晶分子配向をもつ固体球体からのRGM円偏光発光のミクロ観察
Micro-particles with an internal helical liquid crystalline (LC) molecular order serve as efficient and highly compact circularly polarized luminescence (CPL) emitters. However, the coupling between CPL emission and the interior LC molecular order remains poorly understood at the single particle level. Here, we synthesized microspheres from an LC monomer RM23 together with a fluorescent dye and a chiral additive (R/S-BPy) and investigated their CPL properties. Polarized optical microscopy and angle-dependent CPL observations at a single-particle level revealed randomly distributed one-handed helical domains in each sphere, leading to CPL emission with an average dissymmetry factor value |glum| of 0.05 regardless the observation angle. The color of the CPL emission is tunable in the range of 450–700 nm by varying the fluorescent dyes doped in the spheres.

Adv. Photon. Res. 2025, 6, 2400172.
“Directional Whispering Gallery Mode in Microring Lasers Enabled by Tilted Azimuthal Gratings”
傾斜したグレーティングをもつ方向性のあるWGMマイクロリング共振器
Whispering gallery mode (WGM) microcavities, which have been extensively studied for their ultrahigh Q factors and small mode volumes, are exceptional platforms for achieving ultralow-threshold microlasers and functional resonators. However, the rotational symmetry of these structures traps light inside, resulting in an isotropic output and limiting their use in photonics. Special structural modifications are required to achieve a unidirectional light output in WGM cavity lasers. This study introduces and experimentally validates a novel method for achieving unidirectional light propagation in lasing microrings. Spatial symmetry is broken by integrating tilted azimuthal gratings on the inner wall of the microring. Consequently, clockwise and counterclockwise propagating WGMs exhibit distinct propagation losses and backscattering coefficients depending on the tilt angle of the grating, thereby enabling a controllable direction. This advancement paves the way for enhanced applications in integrated photonics such as unidirectional light sources and orbital angular momentum emitters, thereby expanding the functional capabilities of WGM microcavities.

Adv. Funct. Mater. 2025, 2502545.
“Ultrafast Energy Transfer Induced Lasing From a Coplanar Donor-Acceptor-Donor Molecule in a Microspherical Cavity”
励起状態分子内プロトン移動特性をもつ高ゲイン、低損失、低閾値の有機球体レーザー
Intramolecular excitation energy transfer (IET) dynamics and molecular rigidity of a donor-acceptor system control the lasing efficiency of organic gain media. Herein, a novel molecule COPV2-3-2, featuring carbon-bridged oligo(para-phenylenevinylenes) (COPV) is reported. In this structure, COPV2 and COPV3 serve as photo-absorptive donor and emissive acceptor monomer units, respectively, and two identical energy donors are connected to a coplanarly arranged acceptor through rigid orthogonal bridges. The rational design of the donor-bridge-acceptor-bridge-donor (D-B-A-B-D) molecule ensures precise control over IET and enables a four-level energy system for efficient lasing at the acceptor emission band. Time-resolved studies using femtosecond-transient absorption spectroscopy unveil that COPV2-3-2 exhibits near unity intramolecular energy transfer with an ultrafast rate constant of 2.27 ps−1. Additionally, singlet-singlet annihilation (SSA) is also observed over a pump fluence of 115 µJ cm−2, which can hinder population inversion. To suppress the lasing threshold below that for SSA, COPV2-3-2 is doped into a polystyrene matrix to fabricate a high Q-factor microspherical cavity. This microcavity exhibits whispering gallery mode (WGM) lasing with an averaged low lasing threshold (≈104 µJ cm−2), high Q-factors (≈1180), and excellent photostability half-life (≈105 pump pulses), demonstrating the potential of COPV2-3-2 as a high optical gain material for advanced photonic applications.

Chem. Commun. 2025, 61, 5589-5592.
“High gain, low loss, and low-threshold spherical organic laser based on highly miscible excited-state intramolecular proton transfer dyes”
励起状態分子内プロトン移動特性をもつ高ゲイン、低損失、低閾値の有機球体レーザー
Here, we report two types of excited-state intramolecular proton transfer dyes featuring exceptionally high miscibility with a polymer matrix (>50 wt%). Using these dyes, we assemble spherical laser oscillators and observe a significant reduction in the laser emission threshold at higher dye concentrations due to the enhanced optical gain as well as suppressed self-absorption and light scattering.

Adv. Mater. 2025, 37, 2413793.
“Optically Pumped and Electrically Switchable Microlaser Array Based on Elliptic Deformation and Q-Attenuation of Organic Droplet Oscillators”
光励起で電気的にスイッチ可能な楕円変形有機液滴マイクロレーザーアレイ
Conventional laser panel displays are developed through the mass integration of electrically pumped lasers or through the incorporation of a beam steering system with an array of optically pumped lasers. Here a novel configuration of a laser panel display consisting of a non-steered pumping beam and an array of electrically Q-switchable lasers is reported. The laser oscillator consists of a robust, self-standing, and deformable minute droplet that emits laser through Whispering-Gallery Mode resonance when optically pumped. The laser oscillation is electrically switchable during optical pumping by applying a vertical electric field to the droplet. Electromagnetic and fluid dynamics simulations reveal the deformation of the droplet into a prolate spheroid under the electric field and associated attenuation of quality factor (Q-factor), leading to the halt of the laser oscillation. A 2 × 3 array of droplets is fabricated by inkjet printing as a prototype of a laser panel display, and it successfully achieves the pixel-selective switching of the oscillation.

Opt. Lett. 2025, 50, 702-705.
“Single-crystal CsPbBr3 based Vertical Cavity Surface Emitting Laser”
単結晶CsPbBr3垂直共振器表面発光レーザー
All-inorganic perovskite materials have been widely used in various devices, including lasers, light-emitting diodes (LEDs), and solar cells, due to their exceptional optoelectronic properties. Devices utilizing high-quality single crystals are anticipated to achieve significantly enhanced performance. In this work, we present a high-performance vertical cavity surface emitting laser (VCSEL) based on a single-crystal CsPbBr3 microplatelet, fabricated through a simple solution process and sandwiched between two distributed Bragg reflector (DBRs). The VCSEL demonstrated single-mode lasing at 542 nm, a low threshold of 5 µJ/cm2, and a high Q-factor of 2893. Additionally, time-resolved photoluminescence (TRPL) measurements using a streak camera revealed picosecond-scale lasing dynamics. This study offers a novel, to the best of our knowledge, approach for realizing laser devices using perovskite single-crystal microplatelets.
Small 2025, 21, 2404934.
“Spontaneous Formation of π-Conjugated Polymeric Colloidal Molecules Through Stepwise Coacervation and Symmetric Compartmentalization”
段階的な融合と対称的な区画化によるπ共役ポリマーコロイド分子の自発形成
Coacervation, the phase separation of liquid induced by polymeric solutes, sometimes results in the formation of oligomeric clusters of droplets. The morphology of the clusters is non-uniform because the clustering is a consequence of the random collisions of the drifting droplets. Here we report distinctively organized coacervation, yielding colloidal molecules with monodisperse size, morphological symmetry, and compositional heterogeneity. We investigate the coacervation of a mixture of two types of synthetic polymers and find that one of the polymers coacervates first and serves as a core droplet, on which the other polymer coacervates subsequently to form satellite droplets. The satellite droplets arrange themselves symmetrically around the core and solidify without losing the morphology. The number of satellites and their symmetry are modulable depending on the chemical affinity and the diameter of the droplets. This finding highlights the capability of coacervation as a non-templated and non-covalent pathway to form aspherical colloidal materials with structural and functional complexity.

Commun. Chem. 2024, 7: 282.
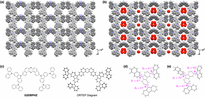
“A van der Waals porous crystal featuring conformational flexibility and permanent porosity for ultrafast water release”
超高速水蒸気放出のための構造柔軟性と恒久的な多孔性をもつファンデルワールス結晶
Flexibility has been pursued enthusiastically in the field of porous crystals for enhancing their adsorption and separation performances. However, flexibility has never been observed among porous crystals sustained thoroughly by van der Waals interactions since flexible motions readily lead to the collapse of the porous architecture. Here we report a van der Waals crystal featuring conformational flexibility as well as permanent microporosity. The single-crystal structure and its structural transition in response to the adsorption of water molecules were unambiguously disclosed by means of electron and X-ray crystal structure analyses. The peripheral aromatic rings of the constituent molecule rotated as increasing the ambient humidity, while the connectivity of the pores was maintained throughout the structural transition. The transformative pores allowed the guest water molecules to move exceedingly quickly through the pores with a time constant of 490 μs. We demonstrated that the quick release of water induced by photothermal heating induced a significant upward bending of a film set above the crystalline powder compared to conventional porous materials. This finding contributes to the future crystal engineering based on van der Waals interactions rather than cohesive bonds.

ACS Photon. 2024, 11, 5110–5117.
“Coexistence of the Radial-Guided Mode and WGM in Azimuthal-Grating-Integrated Microring Lasers”
円周方向にグレーティングをもつマイクロリングレーザーにおけるラディアルモードとWGMの共存
Whispering-gallery mode (WGM) resonators, renowned for their high Q-factors and narrow line widths, are widely utilized in integrated photonics. Integrating diffraction gratings onto WGM cavities has gained significant attention because these gratings function as azimuthal refractive index modulators, enabling single-mode WGM emissions and supporting beams with orbital angular momentum (OAM). The introduction of curved grating structures facilitates guided mode resonances by coupling high-order diffracted waves with leaking modes from the waveguide. These gratings act as wavelength-selective mirrors and support concentric circular radial-guided modes. This study investigates the coexistence and interaction between OAM-carrying WGMs and radial-guided modes with Bessel beam characteristics in an active cladding grating-integrated microring laser. These phenomena are examined through both three-dimensional simulations and experiments. The active layer enhances the radial-guided modes at the microring’s center, where cylindrical waves from the active cladding produce strong guided mode resonance at specific wavelengths corresponding to radial modes. Additionally, general WGMs are formed and confined within the microring. The effects of grating depth and microring size on radial-guided mode resonance are evaluated through two-dimensional simulations and experiments. These insights pave the way for integrating functional lasers into photonic circuits and advancing technologies for topological optical vortex emission and manipulation.

Chem. Commun. 2024, published.
“Near-unity angular anisotropy of circularly polarized luminescence from microspheres of monodispersed chiral conjugated polymers”
単分散キラル共役ポリマーの微小球からの円偏光発光のほぼ1の角度異方性
A microsphere, assembled from a chiral π-conjugated polymer with narrow polydispersity, features a well-organized twisted-bipolar structure and exhibits highly biased circularly polarized luminescence (CPL). The CPL emitted toward the equatorial direction is 61-fold greater than that emitted along the zenith direction, which is the highest anisotropy among existing microscopic CPL emitters.

Polymer J. 2024, 56, 887–894..
“Supramolecular methodologies for the assembly of optical microresonators from functional organic materials”
機能性有機材料から光マイクロ共振器を組み立てるための超分子的方法
An optical microresonator is a micrometer-scale object that can confine light inside its body via total internal reflection at the boundary. In addition to well-established applications, including laser oscillators, optical sensors, and quantum memory, optical resonators have attracted renewed attention in chemistry and biology as minute and highly sensitive sensors that work in the environment and inside biological tissues and cells without any connected wires. Optical resonators should be functional for facilitating molecular interactions and biological compatibility, which is, however, challenging with conventional materials and processing techniques. In contrast, the authors have been tackling this issue by using supramolecular chemistry, which enables the assembly of optical resonators from chemically and biologically functional organic materials in solution. This article reviews our recent progress on the methodologies for making organic optical resonators and their emergent optical properties.
Mater. Horiz. 2024, 11, 3203-3212.
“Functional oligo- and polypeptide assemblies for photochemical, optical and electronic applications”
光化学、光学、電子的応用のための機能的オリゴ、ポリペプチド集合体
The primary and secondary structures of peptides are useful as scaffolds to sequentially arrange functional groups of molecules. In this review, we review self-assembled functional peptides, whereby peptides with appropriate amino acid sequences can assemble using functional groups on their side chains. First, we apply our design strategies for the synthesis of peptide-based materials with sequenced side chains with polar moieties, organic dyes and metal complexes. The synthetic oligopeptides thus obtained exhibit inherent photoinduced charge separation and electrochemical redox activities, as well as responses to bio-sequences. Next, catalytic and photocatalytic oxidation reduction reactions and hydrogen evolution reactions are shown by utilizing the peptides with separated functionalities on both sides of β-sheets by hybridizing with electro- and photoactive graphene oxide and metal nanoparticles. Finally, the self-assembled natural proteins that form micrometre-scale spherical geometry and fibres are utilized for optical and electronic applications. The silk fibroin forms well-defined microspheres with smooth surface morphology, leading to properties suitable for use in optical resonators, which can sense external humidity because of the hygroscopic nature of silk fibroin. Dragline silk fibres can act as optical waveguides that can perform intermediate natural polymer-based optical logic operations. These functional peptides are utilizable for various applications in catalysis, optics and electronics.

Chem. Lett. 2024, 53, upae078.
“Hyaluronic acid microresonators for memorable humidity sensing”
ヒアルロン酸マイクロ共振器による記憶可能な湿度センシング
Self-assembled hyaluronic acid (HA) microspheres are utilized for memorable optical humidity sensing. Because of the extremely high hygroscopic property of HA, the microsphere deforms in a highly humid atmosphere and the shape change is irreversible, thereby memorizing the history of the humidity change. The optically memorable humidity sensor can notify whether the humidity exceeds the upper limit of 50%.

ACS Appl. Bio Mater. 2024, published online.
“Keratin Microspheres as Promising Tool for Targeting Follicular Growth”
毛包の成長を促進する有効なツールとしてのケラチン球体
Skin is the body barrier that constrains the infiltration of particles and exogenous aggression, in which the hair follicle plays an important role. Recent studies have shown that small particles can penetrate the skin barrier and reach the hair follicle, making them a potential avenue for delivering hair growth-related substances. Interestingly, keratin-based microspheres are widely used as drug delivery carriers in various fields. In this current study, we pursue the effect of newly synthesized 3D spherical keratin particles on inducing hair growth in C57BL/6 male mice and in human hair follicle dermal papilla cells. The microspheres were created from partially sulfonated, water-soluble keratin. The keratin microspheres swelled in water to form spherical gels, which were used for further experiments. Following topical application for a period of 20 days, we observed a regrowth of hair in the previously depleted area on the dorsal part of the mice in the keratin microsphere group. This observation was accompanied by the regulation of hair-growth-related pathways as well as changes in markers associated with epidermal cells, keratin, and collagen. Interestingly, microsphere keratin treatment enhanced the cell proliferation and the expression of hair growth markers in dermal papilla cells. Based on our data, we propose that 3D spherical keratin has the potential to specifically target hair follicle growth and can be employed as a carrier for promoting hair growth-related agents.

Nanoscale 2023, 15, 19062–19068.
“Poly(lactic acid) stereocomplex microspheres as thermally tolerant optical resonators”
高い耐熱特性をもつポリ乳酸マイクロ球体光共振器
Thermally tolerant polymer optical resonators are fabricated from stereocomplex of poly(L-lactic acid) and poly(D-lactic acid) through oil-in-water miniemulsion method. The thermal stability of the microspheres of the stereocomplex poly(lactic acid) (SC-PLA) is superior to those of the homochiral poly(lactic acid) (HC-PLA). As a result of the high thermal stability, optical resonator properties of the SC-PLA microspheres preserve at elevated temperature up to 230 °C, which is higher by 70 °C than that of microspheres formed from HC-PLA.

Chem Lett. 2023, 52, 696–699.
“Inclusion of Dye in Cyclodextrin for Isotropically Radiative Robust Droplet Laser toward Lens-free Remote Optical Detection”
レンズ不要のリモート光検出に向けた等方的に放射するシクロデキストリンによる包括された蛍光色素を含む液滴レーザー
Micrometer-scale organicliquid droplets are ofparticularinterest due to their excellentlasing performance together withextremeflexibility and responsivity. Here, we report the synthesisofnovellasing microdroplets with suppressed spontaneousemission. A supramolecular complex ofa dye and a cyclodextrinworks as robust and excellentlaser dyein the droplet. Moreover,thelaser emissionfrom the single dropletis strong enoughfor alldirectionsirrespective ofthe observation angle and detectablewithout an objectivelens.

Nano Lett. 2023, 23, 6512–6519.
“Impact of Plasmonic and Dielectric Substrates on the Whispering-Gallery Modes in Self-Assembled Fluorescent Semiconductor Polymer Microspheres”
自己組織化発光性半導体ポリマーマイクロ共振器におけるウィスパリングギャラリーモードへのプラズモニックもしくは誘電体基板の効果
In this work, the impact of metallic and dielectric conducting substrates, gold and indium tin oxide (ITO)-coated glass, on the whispering gallery modes (WGMs) of semiconductor π-conjugated polymer microspheres is investigated. Hyperspectral mapping was performed to obtain the excitation-position-dependent emission spectra of the microspheres. Substrate-dependent quenching of WGMs sensitive to mode polarization was observed and explained. On a glass substrate, both transverse-electric (TE) and transverse-magnetic (TM) WGMs are quenched due to frustrated total internal reflection. On a gold substrate, however, only the TM WGMs are allowed in symmetry to leak into surface plasmons. An atomically flat gold substrate with subwavelength slits was used to experimentally verify the leakage of WGMs into the surface plasmon polaritons (SPPs). This work provides insight into the damping mechanisms of WGMs in microspheres on metallic and dielectric substrates.

J. Am. Chem. Soc. 2023, 25, 13920–13928.
“Pathway Complexity in Nanotubular Supramolecular Polymerization: Metal–Organic Nanotubes with a Planar-Chiral Monomer”
ナノチューブ状超分子重合の経路複雑性:面不斉モノマーからなる金属ー有機ナノチューブ
Here, we report an anomalous pathway complexity in the supramolecular polymerization of a chiral monomer, which displays an unusual chiroptical feature that does not follow any of the known stereochemical rules such as “chiral self-sorting” and “majority rule”. We newly developed a planar-chiral ferrocene-cored tetratopic pyridyl monomer FcL, which underwent AgBF4-mediated supramolecular polymerization to give nanotubes FcNTs composed of metal–organic nanorings FcNRs. Although FcNRs must be homochiral because of a strong geometrical constraint, FcNRs were formed even efficiently from racemic FcL and AgBF4. Detailed studies revealed the presence of two competing pathways for producing homochiral FcNRs as the constituents of FcNTs: (i) spontaneous cyclization of initially formed acyclic polymers -[FcL-Ag+]n- and (ii) template (FcNR)-assisted cyclization via a Ag+···Ag+ metallophilic interaction. The dominance of the two pathways changes depending on the %ee of chiral FcL. Namely, when the %ee of FcL is high, -[FcL-Ag+]n- must contain sufficiently long homochiral sequences that can be readily cyclized into FcNRs. Meanwhile, when the %ee of FcL is low, the homochiral sequences in -[FcL-Ag+]n- must be short and therefore are hardly eligible for spontaneous cyclization. Why were FcNRs formed? Even though the probability is very low, homochiral -[FcL-Ag+]n- can be statistically generated and undergo spontaneous cyclization to give FcNRs minutely. We found that FcNRs can be amplified by heterochirally templating their own synthesis using metallophilic interaction. Because of this stereochemical preference, the growth of FcNRs into FcNTs via the template-assisted mechanism occurs only when both (R,R)FcL and (S,S)FcL are present in the polymerization system.

Aggregate 2023, 4, e365.
“Machine learning of organic solvents reveals an extraordinary axis in Hansen space as indicator of spherical precipitation of polymers”
機械学習によるポリマー球体形成のためのハンセン空間における有機溶媒の余剰軸の発見
Machine learning is an emerging tool in the field of materials chemistry for uncovering a principle from large datasets. Here, we focus on the spherical precipitation behavior of polymers and computationally extract a hidden trend that is orthogonal to the availability bias in the chemical space. For constructing a dataset, four polymers were precipitated from 416 solvent/nonsolvent combinations, and the morphology of the resulting precipitates were collected. The dataset was subjected to computational investigations consisting of principal component analysis and machine learning based on random forest model and support vector machine. Thereby, we eliminated the effect of the availability bias and found a linear combination of Hansen parameters to be the most suitable variable for predicting precipitation behavior. The predicted appropriate solvents are those with low hydrogen bonding capability, low polarity, and small molecular volume. Furthermore, we found that the capability for spherical precipitation is orthogonal to the availability bias and forms an extraordinary axis in Hansen space, which is the origin of the conventional difficulty in identifying the trend. The extraordinary axis points toward a void region, indicating the potential value of synthesizing novel solvents located therein.

Acc. Chem. Res. 2023, 56, 1469–1481.
“Molecular and Supramolecular Designs of Organic/Polymeric Micro Photoemitters for Advanced Optical and Laser Applications (Account Paper)”
先端光学・レーザー応用に向けた有機/高分子マイクロ光源の分子および超分子デザイン
For optical and electronic applications of supramolecular assemblies, control of the hierarchical structure from nano- to micro- and millimeter scale is crucial. Supramolecular chemistry controls intermolecular interactions to build up molecular components with sizes ranging from several to several hundreds of nanometers using bottom-up self-assembly process. However, extending the supramolecular approach up to a scale of several tens of micrometers to construct objects with precisely controlled size, morphology, and orientation is challenging. Especially for microphotonics applications such as optical resonators and lasers, integrated optical devices, and sensors, a precise design of a micrometer-scale object is required. In this Account, we review the recent progress on precise control of microstructures from π-conjugated organic molecules and polymers, which work as micro-photoemitters and are suitable for optical applications. After the introduction on the importance of the control of the hierarchical structures from molecular assembly, we review supramolecular methodology for assembling molecules and supramolecules to form microstructures such as spheres and polygons with precisely controlled morphology and molecular orientations. The resultant microstructures act as anisotropic emitters of circularly polarized luminescence. We report that synchronous crystallization of π-conjugated chiral cyclophanes forms concave hexagonal pyramidal microcrystals with homogeneous size, morphology, and orientation, which clearly paves the way for the precise control of skeletal crystallization under kinetic control. Furthermore, we show microcavity functions of the self-assembled micro-objects. The self-assembled π-conjugated polymer microspheres work as whispering gallery mode (WGM) optical resonators, where the photoluminescence exhibits sharp and periodic emission lines. The spherical resonators with molecular functions act as long-distance photon energy transporters, convertors, and full-color microlasers. Fabrication of microarrays with photoswitchable WGM microresonators by the surface self-assembly technique realizes optical memory with physically unclonable functions of WGM fingerprints. All-optical logic operations are demonstrated by arranging the WGM microresonators on synthetic and natural optical fibers, where the photoswitchable WGM microresonators act as a gate for light propagation via a cavity-mediated energy transfer cascade. Meanwhile, the sharp WGM emission line is appropriate for utilization as optical sensors for monitoring the mode shift and mode splitting. The resonant peaks sensitively respond to humidity change, absorption of volatile organic compounds, microairflow, and polymer decomposition by utilizing structurally flexible polymers, microporous polymers, nonvolatile liquid droplets, and natural biopolymers as media of the resonators. We further construct microcrystals from π-conjugated molecules with rods and rhombic plates, which act as WGM laser resonators with light-harvesting function. Our developments, precise design and control of organic/polymeric microstructures, form a bridge between nanometer-scale supramolecular chemistry and bulk materials and pave the way toward flexible micro-optics applications.

Adv. Photon. Res. 2023, 2200357.
“Solvent-Dependent Growth of Rigid Styrylstilbene Dicarboxylic Acid Microcrystals as Bent Waveguides and Microlasers”
湾曲した導波路やマイクロレーザーとしての剛直なスチリルスチルベンジカルボン酸マイクロ結晶の溶媒異存成長
Organic single-crystalline structures can effectively generate and confine photons, which can be potential building blocks for the optical circuits. While designing of organic molecules can tune the photoluminescence (PL) property, it is challenging to achieve efficient laser emission and light resonance in different forms of molecular aggregates. Herein, a dicarboxylated carbon-bridged oligophenylenevinylene (COPV2-(COOH)2) is newly synthesized. The THF/water solution of COPV2-(COOH)2 exhibits green-color PL with quantum yield >0.90 over the range of THF/water = 100/0–40/60. COPV2-(COOH)2 forms either bent microrods (MR) or microsheets (MS) depending on the crystallization solvents. Significantly, PL resonance and lasing are only observed in MS, indicating that MS has better light confinement property than MR. MS features Q-factor as high as 1.8 × 103 with the lasing threshold of 222 μJ cm−2. Finite-difference time-domain (FDTD)-simulated electric field distributions in MR and MS validate experimental observations.

Laser Photon. Rev. 2023, 2200874.
“Pneumatically Tunable Droplet Microlaser”
気流による変調が可能な液滴マイクロレーザー
An ideally flexible laser may function in unison with minute fluctuations in nature. Lasers made solely from liquids are promising toward this end, but they are intrinsically unstable and have been inapplicable to steady operation under ambient conditions unless they are enclosed in a tailored container or a matrix to prevent the evaporation of the liquid. Here, a simple methodology is reported to form a self-standing spherical microlaser that is composed fully of liquid and operates steadily even under atmosphere. The robustness and spherical morphology of the droplets are achieved by using ionic liquid as the liquid medium and gently casting the droplets on a substrate covered with hydrophobic nanoparticles to enhance the metastability of the contact angle. The resulting droplets are highly robust and work as efficient long-lasting laser oscillators. The lasing wavelength is sensitively shifted when the droplets are subjected to a faint breeze or moisture, which is associated with the deformation of the droplet. The morphological and optical responses of the droplet under gas convection are consistently supported by aerodynamic and electromagnetic simulations. The droplets are readily scalable with an inkjet printer without the need for any further treatments.

Chem. Commun. 2023, 59, 1477–1480.
“Degradable Optical Resonator as in situ Micro-probes for Microscopy-based Observation of Enzymatic Hydrolysis”
酵素加水分解のマイクロプローブが可能な光共振器
Optical resonators work as precise physical and chemical sensors. Here, we assemble a whispering gallery mode resonator from a natural polymer, fibroin protein, and successfully observe its catalytic degradation reaction as a spectral shift. This methodology will contribute to the precise in situ observation of biological reactions by optical microscopy.

Adv. Opt. Mater. 2022, 2202563.
“Micrometer-Scale Optical Web Made of Spider Dragline Fibers with Optical Gate Operations”
光ゲート動作可能なマイクロメートルスケールの蜘蛛の巣
Spider dragline silk fibers produced by spiders are a masterpiece structural protein that is durable even in the wild conditions. Dragline silk fibers are known to have excellent mechanical toughness and flexibility and further possess optical transparency, which are highly promising as textiles, sensors, and optical devices. Here, we show that the dragline silk microfibers act as a good optical waveguiding properties with the optical loss coefficient as small as 0.03 decibel per micrometer. The light transportation in the dragline silk fiber is performed by fluorescence energy transfer between two microspheres located on a suspended dragline silk microfiber. By utilizing a micromanipulation equipment, we fabricate micrometer-scale spider web-like structures. The experimentally observed optical waveguiding properties of the weaves matches well with simulation results using simple mathematical models. Furthermore, optical logic gate operations are demonstrated using photoswitchable microsphere resonators attached on the dragline fibers.

Adv. Opt. Mater. 2022, 2202134.
“Optical Control of Aggregation Induced Emission Shift by Photoisomerizable Precipitant in a Liquid Droplet Microresonator”
液滴光共振器中の光異性化に伴う析出による凝集誘起発光シフトの光制御
Emission-switchable fluorophores often include stimuli-responsive units in their molecular structures. This strategy works well, but the applicable compounds are limited to the derivatives of several kinds of photochromic molecules such as diarylethene, azobenzene, and spiropyran. Here, this work presents a simple methodology based on a photoresponsive precipitant for achieving color-switchable photoluminescence. A luminescent dye, cyano-substituted oligo(phenylenevinylene) (COPV), features both twisted intramolecular charge transfer and aggregation-induced emission shift properties, leading to the change in the luminescence color from green to red upon precipitation. The COPV, together with photoisomerizable precipitant azobenzene (C6), is doped into spherical droplets of epoxy resin (ER) in a liquid state. The photoisomerization of C6 induced by UV irradiation and heating alternatively precipitates out and dissolves COPV in ER and changes the photoluminescence color, while maintaining the optical microresonator properties. This study will open a promising way for assembling/disassembling novel emission color-switchable systems.

Chem. Commun. 2022, 58, 11887–11897.
“Functions and fundamentals of porous molecular crystals sustained by labile bonds”
不安定な結合が支える多孔性分子結晶の機能と基礎
Organic molecules favour dense packing so that they can maximise the enthalpic gain upon solidification. Multidentate organic molecules that can form reticular bonding networks have been considered essential to overcome this tendency and assemble the molecules in a porous manner. Meanwhile, contrary to this understanding, a few organic molecules have been found to form porous molecular crystals by simply stacking with each other via van der Waals forces or analogous very weak noncovalent interactions. Although the porous molecular crystals were relatively rare in the 2000s due to the difficulty in the synthesis, their number has increased in the last decade, and their functional uniqueness has been unveiled eventually. This article reviews the recent advances in such functional porous molecular crystals. Particularly, thermal stability, processability, structural dynamicity, reactivity, and self-healing ability are highlighted. In addition, fundamental principles behind their functionalities, including the history, energetics, and the effect of crystallization solvent, are also reviewed.

Science 2022, 377, 673-677
“Synchronous assembly of chiral skeletal single-crystalline microvessels”
キラルなお椀状マイクロ単結晶の一斉成長
Skeletal or concave polyhedral crystals appear in a variety of synthetic processes and natural environments. However, their morphology, size, and orientation are difficult to control because of their highly kinetic growth character. We report a methodology to achieve synchronous, uniaxial, and stepwise growth of micrometer-scale skeletal single crystals from planar-chiral double-decker molecules. Upon drop-casting of a heated ethanol solution onto a quartz substrate, the molecules spontaneously assemble into standing vessel-shaped single crystals uniaxially and synchronously over the wide area of the substrate, with small size polydispersity. The crystal edge is active even after consumption of the molecules and resumes stereoselective growth with successive feeding. The resultant morphology can be packed into polycyclic aromatic hydrocarbon–like microarchitectures and behaves as a microscopic container.

Polymer J. 2022, 55, 547–553.
“Hydrothermal crosslinking of poly(fluorenylamine) with styryl side chains to produce insoluble fluorescent microparticles”
ポリフルオレニルアミンの水熱架橋による不溶性発光マイクロ微粒子の合成
Fluorescent microbeads are emerging as optical probes for biological applications. However, insoluble crosslinked microbeads are difficult to synthesize. The existing methodology, in which polymerization occurs within dispersed micelles, is only applicable to a limited number of polymeric compounds. Herein, we report the hydrothermal synthesis of insoluble fluorescent microbeads. The newly designed and synthesized fluorenylamine-based polymers contained two styryl groups and self-assembled into spherical microparticles upon emulsification. In contrast to microparticles heated under atmospheric conditions, the microparticles became insoluble upon hydrothermal treatment and maintained their spherical morphology. Microparticles that contained a mixture of the thermosetting polymer with polystyrene resulted in an enhanced fluorescence quantum yield and a fluorescence color that could be adjusted by the mixing ratio from red to green and blue.

ACS Appl. Polym. Mater. 2022, 4, 1065-1070.
“Nanoporous Fluorescent Microresonators for Non-wired Sensing of Volatile Organic Compounds down to the ppb Level”
非接触式で揮発性有機物質をppbレベルで検知可能なナノポーラス蛍光マイクロ共振器
Luminescent resonators have been exploited as promising non-wired sensors for volatile organic compounds (VOCs). Nonetheless, their sensitivity is insufficient to detect dilute VOCs down to ppb concentration ranges due to the little physisorption quantity at the surface. Here we report a nanoporous fluorescent resonator that exhibits an enhanced optical response to VOC molecules by accumulative physisorption in the pores and, thus, detects VOCs with concentration down to ppb ranges. A polymer with intrinsic microporosity is allowed to assemble into spherical microparticles (MSPIM-1) that exhibit whispering gallery mode resonance. The resonance peak undergoes spectral shift upon exposure to a model gaseous compound (pyridine) with excellent sensitivity (0.40 nm ppm–1) and LOD (470 ppb) without losing its linearity down to 800 ppb. Adsorption of pyridine in the pores and underlying molecular mechanism can be quantitatively evaluated based on the change in refractive index. MSPIM-1 preferentially detects aromatic hydrocarbons as well as pyridine while is less responsive to highly polar or non-polar chemicals.

Adv. Opt. Mater. 2021, 2101808.
“Mechanically Flexible and Optically Tunable Organic Crystal Resonator”
機械的に柔軟で光学的に変調可能な有機結晶共振器
An organic single-crystal optical resonator that maintains its optical performance even upon mechanical bending remains a challenging target. Here, the first flexible organic crystal (FOC) that works as a tunable optical resonator as a function of bending angle is developed. A fluorescent-conjugated molecule, cyano-substituted oligo(phenylenevinylene)s, is allowed to crystallize slowly, yielding a discrete rod-shape microcrystal (FOCCOPV). FOCCOPV not only works as an e& cient optical waveguide along its longitudinal direction with the optical loss coefficient of 0.249 dB μm−1 but also works as a Fabry-Pérot type optical resonator along its lateral direction. The resonance wavelength is finely tunable toward the shorter wavelength region by the mechanical bending of FOCCOPV plausibly due to the Poisson effect, namely, the contraction of the lateral dimension of the crystal by the longitudinal strain, along with the change in the refractive index. The mechanical bending and associated spectral shift is repeated for many cycles without deterioration in their mechanical and optical properties.

Commun. Chem 2021, 4, 122.
“Solvophobicity-directed assembly of microporous molecular crystals”
多孔性分子結晶の疎水誘起集合化
Dense packing is a universal tendency of organic molecules in the solid state. Typical porous crystals utilize reticular strong intermolecular bonding networks to overcome this principle. Here, we report a solvophobicity-based methodology for assembling discrete molecules into a porous form and succeed in synthesizing isostructural porous polymorphs of an amphiphilic aromatic molecule Py6Mes. A computational analysis of the crystal structure reveals the major contribution of dispersion interaction as the driving force for assembling Py6Mes into a columnar stacking while the columns are sterically salient and form nanopores between them. The porous packing is facilitated particularly in solvents with weak dispersion interaction due to the solvophobic effect. Conversely, solvents with strong dispersion interaction intercalate between Py6Mes due to the solvophilic effect and provide non-porous inclusion crystals. The solvophobicity-directed polymorphism is further corroborated by the polymorphs of Py6Mes-analogues, m-Py6Mes and Ph6Mes.

ACS Appl. Polym. Mater. 2022, 4, 1065-1070.
“Polymer Optical Microcavity Sensor for Volatile Organic Compounds with Distinct Selectivity toward Aromatic Hydrocarbons”
揮発性有機物質、特に芳香族炭化水素の選択的検出のためのポリマー光共振器センサー
A whispering-gallery mode (WGM) optical resonance sensor for volatile organic compounds (VOCs) is developed from polystyrene (PS) microspheres doped with fluorescent β-cyano-appended oligo(p-phenylenevinylene) (β-COPV). The β-COPV-doped PS microspheres (MSCOPV) are formed by the miniemulsion method in a binary solvent. MSCOPV expand upon permeation of VOCs into the PS matrix and exhibit a spectral shift of the WGM resonance peak. The permeation efficiency is highly dependent on the chemical affinity between the analyte and the polymer matrix, with exceptionally high selectivity toward aromatic hydrocarbons such as benzene, toluene, and xylenes (BTXs). The high selectivity and sensitivity of MSCOPV are in clear contrast to those of conventional WGM sensors that just detect VOCs nonpreferentially through adsorption onto the surface.

Adv. Funct. Mater. 2021, 2103685.
“Photochemically Switchable Interconnected Microcavities for All-Organic Optical Logic Gate”
光化学的にスイッチ可能な連結したマイクロ共振器によるオール有機光論理ゲート
Optical microcavities confine molecular luminescence and transfer it to a far longer distance than the conventional Förster resonant energy transfer process. Such cavity-mediated energy transfer is advantageous for use in optical circuitry. However, to realize all-organic optical circuits, optical gate operation with organic materials is indispensable. Here, all-organic optical gates consisting of polymer whispering gallery mode (WGM) resonators that work as the optical source, drain, and gate, which are interconnected with polymer microfiber, are demonstrated. Photoirradiation of the source sphere, as an optical input, triggers the blue fluorescence that transmits to the gate sphere through the fiber. The fiber interconnection enhances both the light confinement efficiency in the individual spheres and the light transmission efficiency between distant spheres. The gate sphere contains photoisomerizable fluorescent dye that converts, in its closed state, the blue emission into green light, which is again transmitted to the drain sphere through the fiber and lets the sphere emit red light as an output. This optical cascade is switched on and off upon photoisomerization of the dye in the gate sphere. Furthermore, an energy cascade equipped with two gate spheres works as an OR-type logic gate, demonstrating potential utility for the future all-organic and all-optical integrated devices.

Mater. Chem. Front. 2021, 5, 5653-5657.
“Silk fibroin microspheres as optical resonators for wide range humidity sensing and biodegradable lasers”
広範囲の湿度を検知可能な生分解性レーザー共振器としてのシルクフィブロインマイクロ球体
Biopolymers, which are in definition organic macromolecules produced by living matter, are promising materials in terms of biodegradability and sustainability. However, in the field of optical sensing, most of the devices or their elements still rely on the synthetic inorganic or organic compounds. In this study, we successfully transform pristine silk fibroin (SF), a naturally abundant and eco-friendly material, into discrete, well-defined microspherical particles that function as an active optical resonator for precise moisture sensing over a wide humidity range. The SF self-assembles into microspherical particles upon water-in-oil emulsification. When being photoexcited, the SF microspheres, doped with fluorescent ionic dye, display whispering gallery mode (WGM) resonant luminescence. Because of the excellent hygroscopic property, the SF microspheres expand in size as increasing the surrounding humidity, and the WGM resonant peaks exhibit a red shift with a linear relation to the surrounding humidity over a wide humidity range up to 95 percent relative humidity (%RH) with the sensitivity as high as 187 pm/%RH. Furthermore, the SF microsphere works as a laser resonator upon femto-second pumping. The fully natural microspheres as presented in this work will serve as sustainable and environmentally friendly optical resonators and sensors.

J. Am. Chem. Soc. 2021, 143, 8772-8779.
“Robust Angular Anisotropy of Circularly Polarized Luminescence from a Single Twisted-bipolar Polymeric Microsphere”
単一のねじれ双極π共役ポリマーマイクロ球体からの角度異方的巨大円偏光発光の実証
It has long been surmised that the circular polarization of luminescence (CPL) emitted by a chiral molecule or a molecular assembly should vary with the direction in which the photon is emitted. Despite its potential utility, this anisotropic CPL has not yet been demonstrated at the level of single molecules or supramolecular assemblies. Here we show that conjugated polymers bearing chiral side chains self-assemble into solid microspheres with a twisted bipolar interior, which are formed via liquid–liquid phase separation and subsequent condensation into a cholesteric lyotropic liquid crystalline mesophase. The resultant microspheres, when dispersed in methanol, exhibit CPL with a glum value as high as 0.23. The microspheres are mechanically robust enough to be handled with a microneedle under ambient conditions, allowing comprehensive examination of the angular anisotropy of CPL. The single microsphere is found to exhibit distinct angularly anisotropic birefringence and CPL with glum up to ∼0.5 in the equatorial plane, which is 2.5-fold greater than that along the polar axis. Such optically anisotropic solid materials are important for the application to next-generation microlight-emitting and visualizing devices as well as for fundamental optics studies of chiral light–matter interaction.

Polymers 2021, 13, 269/1-9.
“Fluorescence switchable conjugated polymer microdisk arrays by cosolvent vapor annealing”
共溶媒蒸気アニーリングによる発光スイッチ可能な共役ポリマーマイクロディスクアレイの作製
Depositing minute light emitters into a regular array is a basic but essential technique in display technology. However, conventional lithographic methodologies involve multistep and energy-consuming processes. Here, we develop a facile method in which organic and polymeric fluorescent dyes spontaneously aggregate to form a patterned microarray. We find that a thin film of fluorescent π-conjugated polymer transforms into micrometer-sized aggregates when exposed to binary organic vapor at ambient temperature. The arrayed microaggregates can be formed over the whole substrate surface when using a quartz substrate that is prepatterned with regular hydrophilic boxes and hydrophobic grids. The resultant microarray is applicable to optical memories and displays when photoswitchable fluorophores are doped into the polymer matrix.

Adv. Mater. 2020, 33, 2006061.
“Fast Response Organic Supramolecular Transistors Utilizing In‐Situ π‐Ion Gels”
πイオンゲルにより高速応答する有機超分子トランジスタ
Abstract: Despite their remarkable charge carrier mobility when forming well‐ordered fibers, supramolecular transistors often suffer from poor processability that hinders device integration, resulting in disappointing transconductance and output currents. Here, a new class of supramolecular transistors, π‐ion gel transistors (PIGTs), is presented. An in situ π‐ion gel, which is an unprecedented composite of semiconducting nanofibers and an enclosed ionic liquid, is directly employed as an active material and internal capacitor. In comparison to other supramolecular transistors, a PIGT displays a high transconductance (133 µS) and output current (139 µA at −6 V), while retaining a high charge‐carrier mobility (4.2 × 10^−2 cm^2 V^−1 s^−1) and on/off ratio (3.7 × 10^4). Importantly, the unique device configuration and the high ionic conductivity associated with the distinct nanosegregation enables the fastest response among accumulation‐mode electrochemical‐based transistors (<20 µs). Considering the advantages of the absence of dielectric layers and the facile fabrication process, PIGT has great potential to be utilized in printed flexible devices. The device platform is widely applicable to various supramolecular assemblies, shedding light on the interdisciplinary research of supramolecular chemistry and organic electronics.

Mater. Chem. Front. 2020, 5, 799-803.
“Highly sensitive humidity sensor based on aggregation-induced emission luminogen-appended hygroscopic polymer microresonator”
凝集誘起発光体をもつ吸湿性ポリマーマイクロ共振器による高感度湿度センサー
Abstract: Self-assembled microspherical aggregates that work as whispering gallery mode (WGM) optical resonators are synthesized from a novel hygroscopic polymer covalently appended with an aggregation-induced emission luminogen. The resultant microspheres can absorb moisture from the surronding atmosphere. Accordingly, the WGM resonant peaks shift due to the change in the diameter of the microsphere. The sensitivity of the peak shift is as high as 255 picometre per percent relative humidity, which is the highest among non-tapered type optical humidity sensors. The responsivity toward moisture is kept virtually intact at least through five cycles of hydration and dehydration processes.

Comms. Chem. 2020, 3:113.
“Sigmoidally hydrochromic molecular porous crystal with rotatable dendrons”
回転可能なデンドロン部位によりS字型のハイドロクロミズム特性を示す分子性多孔質結晶
Abstract: Vapochromic behaviour of porous crystals is beneficial for facile and rapid detection of gaseous molecules without electricity. Toward this end, tailored molecular designs have been established for metal–organic, covalent-bonded and hydrogen-bonded frameworks. Here, we explore the hydrochromic chemistry of a van der Waals (VDW) porous crystal. The VDW porous crystal VPC-1 is formed from a novel aromatic dendrimer having a dibenzophenazine core and multibranched carbazole dendrons. Although the constituent molecules are connected via VDW forces, VPC-1 maintains its structural integrity even after desolvation. VPC-1 exhibits reversible colour changes upon uptake/release of water molecules due to the charge transfer character of the constituent dendrimer. Detailed structural analyses reveal that the outermost carbazole units alone are mobile in the crystal and twist simultaneously in response to water vapour. Thermodynamic analysis suggests that the sigmoidal water sorption is induced by the affinity alternation of the pore surface from hydrophobic to hydrophilic.

Chem. Commun. 2020, 56, 6937-6940.
“Facile light-initiated radical generation from 4-substituted pyridine under ambient conditions”
4-置換ピリジンの大気下での光誘起ラジカル生成
Abstract: Photochemical reactions that generate stable radical species in ambient conditions find unique applications in the materials science. Here we present a facile photogeneration of a stable radical species from a 4-substituted pyridine derivative in the presence of water and air at room temperature. The radical generation reaction accompanies visible colour change into green and is repeatable for multiple times.

Mater. Horiz. 2020, 7, 1801-1808.
“Optical microresonator arrays of fluorescence-switchable diarylethenes with unreplicable spectral fingerprints”
発光がスイッチ可能なジアリールエテンからなる複製不可能なスペクトル指紋をもつマイクロ光共振器アレイ
Abstract: High-security identification requires authentication that is hard to counterfeit and replicate. For anti-counterfeiting data storage and rewritable memory devices, chromic materials are adoptable, where the dichromatic colours can be switched by external stimuli. If further individual information is embedded in each pixel, a much higher-level security system beyond the zero/one data array will be realized. For this purpose, a fine whispering gallery mode (WGM) fingerprint pattern from a microresonator is applicable. Here we propose that photoswitchable optical microresonators made of a fluorescent photochromic organic material function as anti-counterfeiting, rewritable optical memories. The WGM photoluminescence of the resultant microspheres can be switched on and off repeatedly by irradiation with ultraviolet and visible light. The shape of the microresonator varies from a sphere to an oblate ellipsoid and hemisphere, depending on the self-assembly process, and the WGM spectral pattern depends sensitively on the morphology of the resonators. Furthermore, surface self-assembly on a hydrophobic/hydrophilic micropatterned substrate affords a highly integrated array of microresonators as dense as millions of pixels per square centimetre. The spectral fingerprints of all pixels are different from one another; therefore, the photoswitchable microarrays are applicable as an ultimate anti-counterfeiting system which is hard to replicate.

Angew. Chem. Int. Ed. 2020, 59, 12674-12679.
“Single‐Crystalline Optical Microcavities from Luminescent Dendrimers”
発光性デンドリマーからの単結晶マイクロ光共振器
Abstract: Microcrystallites are promising minute mirrorless laser sources. A variety of luminescent organic compounds have been exploited along this line, but dendrimers have been inapplicable owing to their fragility and extremely poor crystallinity. Now, a dendrimer family that overcomes these difficulties is presented. First‐, second‐, and third‐generation carbazole (Cz) dendrimers with a carbon‐bridged oligo(phenylenevinylene) (COPV2) core (Gn COPV2, n=1–3) assemble to form microcrystals. The COPV2 cores align uni/bidirectionally in the crystals while the Cz units in G2‐ and G3COPV2 align omnidirectionally. The dendrons work as light‐harvesting antennas that absorb non‐polarized light and transfer it to the COPV2 core, from which a polarized luminescence radiates. Furthermore, these crystals act as laser resonators, where the lasing thresholds are strongly coupled with the crystal morphology and the orientation of COPV2, which is in contrast with the conventional amorphous dendrimers.

ACS Appl. Energy. Mater. 2019, 7, 13156-13160.
“Excellent Oxygen Reduction Reaction Performance in Self-Assembled Amyloid-β/Platinum Nanoparticle Hybrids with Effective Platinum-Nitrogen Bond Formation”
自己組織化アミロイドβ/白金ナノ粒子による効率的なPt-N結合形成と優れた酸素還元反応
Abstract: Development of highly efficient catalysts for electrochemical oxygen reduction reactions (ORR) is crucial for energy applications such as metal-air batteries and fuel cells. Here, we show an enhanced electrocatalytic activity of a new functional material composed of Pt nanoparticles (PtNPs) and self-assembled β-sheet peptide (βP). The PtNP/βP hybrids, under an optimized assembly condition, display higher ORR electrocatalytic activity than a commercially available benchmark Pt/C electrocatalyst in terms of the onset potential and reaction kinetics. Moreover, the PtNP/βP hybrids show one order of magnitude higher ORR mass activity than previously reported peptide-based ORR electrocatalysts. The superb ORR activity with high durability is derived from the well-dispersed PtNPs on βP, where 50% of the amine group on the side chain bound with Pt to form Pt–N bond that functions as active sites for the catalytic reaction. This work opens new avenues for efficient ORR electrocatalyst using self-assembled peptides.

ACS Appl. Poly. Mater. 2019, 1, 2240-2248.
“Conjugated Copolymers of Poly(arylenevinylene)s: Synthesis by Ring-Opening Metathesis Polymerization, Film Morphology, and Resonant Luminescence from Microspheres”
ポリアリーレンビニレン共役共重合体:開環メタセシス重合、膜形状、マイクロ球体からの共鳴発光
Abstract: A series of copolymers of poly(arylenevinylene)s have been prepared by ring-opening metathesis polymerization (ROMP) of cyclic conjugated monomers composed of cyclopentadithiophene, bis(thienyl)benzothiadiazole, or bithiophene using a second-generation Grubbs catalyst and the sequential monomer addition technique. The spectroscopic, electrochemical, and morphological properties of these polymers are tailored by changing the chemical structures and fractions of the monomers. The polymers self-assemble to form microspheres (diameter: 2–5 μm), which act as whispering-gallery-mode optical resonators.

Chem. Lett. 2019, 48, 607-610.
“Modulation of Whispering Gallery Modes from Fluorescent Copolymer Microsphere Resonators by Protonation/Deprotonation”
プロトン化/脱プロトン化による発光性ポリマーマイクロ共振器からのWGM発光の変調
Abstract: We demonstrate a modulation of whispering gallery mode (WGM) photoluminescence (PL) from self-assembled microsphere of fluorene-terpyridine alternating copolymer by protonation/deprotonation. Upon subsequent addition of acid and base, the PL color of the microspheres can be modulated between blue and green repeatedly, accompanying the shift of the WGM PL peaks.

ACS Appl. Polym. Mater. 2019, 1, 118-123.
“Significant Enhancement of Hole Transport Ability in Conjugated Polymer/Fullerene Bulk Heterojunction Microspheres”
共役ポリマー/フラーレンバルクヘテロ接合マイクロ球体における顕著なホール輸送特性の増大
Abstract: Bulk heterojunction (BHJ) strategy requires morphology of wide area donor-acceptor interfaces with high charge carrier mobilities through the bicontinuous charge transporting layers. Here, we report formation of well-defined bulk heterojunction (BHJ) microspheres from regiorandom poly(hexylthiophene) (rra-PHT)/phenyl-C61-butyric acid methyl ester (PCBM) mixture by a vapor diffusion method. By electrochemical oxidation, the BHJ microsphere exhibits enhanced generation of PHT cation species due to increased hole-transport property in comparison with a solution-cast film derived from rra-PHT/PCBM mixture without microsphere morphology. Photoconductivity and electrochemical stability of the microsphere are comparable or even higher than a cast film of irregular aggregates of regioregular P3HT.

Angew. Chem. Int. Ed. 2019, 57, 17019-17022.
“Dipole Switchable Poly(para‐phenyleneethynylene)s: Ferroelectric Conjugated Polymers”
双極子のスイッチングが可能なポリパラフェニレンエチニレン:強誘電共役ポリマー
Abstract: Dipolar 2,3‐difluorobenzene‐units are introduced into the backbone of a poly(para‐phenylene¬ethynylene) (PPE) to generate a ferroelectric conjugated polymer. The structural features of the partially fluorinated PPE allow for the generation of a remanent polarization in the solid state: The difluorinated benzene rings behave as molecular rotors at high temperature, while at room temperature, stacking of such rings clamps down the ring orientation. The molecular dipoles can still be oriented by moderate external electrical fields at room temperature, and this PPE is then a ferroelectric. The concept should be transferable to other poly(aryleneethynylene)s and novel conjugated ferroelectric conjugated polymers will be accessible using this concept.

Adv. Funct. Mater. 2019, 29, 1805824.
“Carbazole-Dibenzofuran Dyads as Metal-Free Single-Component White-Color Photoemitters”
金属フリーで単一要素からなる白色発光体としてのカルバゾールージベンゾフラン連結分子
Abstract: White-color light emitters from single organic molecule without heavy metals are valuable for practical applications in organic light-emitting devices (OLED). In this study, carbazole (Cz)-dibenzofuran (DBF) donor-acceptor dyads are designed for white-color light emitters. Originally, these molecules show photoluminescence (PL) in near ultraviolet region. However, upon successive ultraviolet (UV) irradiation, white-color PL appears, comprising dual-color phosphorescence from the amorphous and crystalline state of the dyad. A continuous UV irradiation makes the twisting angle between the Cz and DBF planes flatten through the triplet-excited state, which proceeds crystallization. Thermal annealing and UV irradiation can switch the blue- and white-color phosphorescence from the dyad. Furthermore, charge injection generates white-color electroluminescence. The materials with PL color modulation ability by UV-light irradiation and heating can be applicable as light- and thermo sensors.

J. Phys. Chem. C 2019, 123, 5061-5066.
“Polychromatic Photoluminescence of Polymorph Boron Dipyrromethene Crystals and Heterostructures”
BODIPY結晶からの多色発光とヘテロ構造形成
Abstract: Micrometer-size BODIPY crystalline rods were grown from solution. Fluorescence microscopy images reveal that each rod displays characteristic visible light emission of different color. In a particular case, optical heterostructures with discrete, differently colored sections are observed within a single microrod. Micro-photoluminescence (µ-PL) spectra of green and red rods at room temperature show multiple contributions, indicating the presence of micro domains. Temperature dependent µ-PL measurements further confirm this, as red emission decreases and green emission increases at lower temperatures. These observations are discussed as a result of crystalline polymorphism, leading to a local variation of the HOMO-LUMO energy difference. An Arrhenius plot quantifies the hopping barrier for the charge carriers to reach the low emission energy (red) regions. A line scan of a single rod further supports that micro domains of green and orange-red emitting crystal phases are present in a single rod. Time-resolved microwave conductivity studies clarify that micro-domain-free green rods display two orders of magnitude longer photocarrier lifetime and 5-fold higher photoconductivity than the red rods with many small band gap regions.

Chem. Asian J. 2019, 14, 1637-1641.
“Energy Transfer-Assisted Whispering Gallery Mode Lasing in Conjugated Polymer/Europium Hybrid Microsphere Resonators”
共役ポリマー/ユーロピウム混合マイクロ球体共振器におけるエネルギー移動を介したWGMレージング
Abstract: Lanthanide metal complexes display luminescence with narrow bandwidth. Here, we present coupling of the luminescence from europium ion (Eu3+) with whispering gallery modes (WGMs) in conjugated polymer microsphere resonators. Self‐assembly of fluorene‐terpyridine alternating copolymer, coordinated by Eu3+ (F8tpy–Eu3+), forms well‐defined microspheres with the average diameter of 3.2 µm. Upon focused laser excitation, a microsphere of F8tpy copolymer displays WGM photoluminescence (PL) at a wide spectral range from 420 to 680 nm. In contrast, F8tpy–Eu3+ hybrid microspheres exhibit sharp WGM PL at a narrow spectral range of 615–630 nm, which is characteristic of a luminescence from Eu3+. The PL behavior indicates that photoinduced energy transfer from F8tpy to Eu3+ occurs efficiently. Furthermore, the intensity of the PL peak increases nonlinearly upon strong pumping, indicating that a lasing action appears with the threshold of 1.85 mJ cm–2. These results will pave the way to developing microlasers and photonic devices from soft organic materials.

Science 2018, 361, 1242-1246.
“Self-assembly of lattices with high structural complexity from a geometrically simple molecule”
簡素な分子からなる多機能多孔性結晶の発見
Abstract: Here we report an anomalous porous molecular crystal built of C–H···N-bonded double-layered roof-floor components and wall components of a segregatively interdigitated architecture. This complicated porous structure consists of only one type of fully aromatic multijoint molecule carrying three identical dipyridylphenyl wedges. Despite its high symmetry, this molecule accomplishes difficult tasks by using two of its three wedges for roof-floor formation and using its other wedge for wall formation. Although a C–H···N bond is extremely labile, the porous crystal maintains its porosity until thermal breakdown of the C–H···N bonds at 202°C occurs, affording a nonporous polymorph. Though this nonporous crystal survives even at 325°C, it can retrieve the parent porosity under acetonitrile vapor. These findings show how one can translate simplicity into ultrahigh complexity.

Nano Lett. 2018, 18, 4396-4402.
“π-Electronic Co-crystal Microcavities with Selective Vibronic-Mode Light Amplification: Toward Förster Resonance Energy Transfer Lasing”
選択的な振動モードからの光増幅を示すπ電子共結晶マイクロ共振器:FRETレーザー実現に向けて
Abstract: π-conjugated organic microcrystals often act as optical resonators in which the generated photons in the crystal are confined by the reflection at the crystalline facets and interfere to gain lasing action. Here, we fabricate microcrystals from a mixture of carbon-bridged oligo-para-phenylenevinylenes (COPVs) with energy-donor (D) and energy-acceptor (A) characters. Upon weak excitation of the single D−A co-crystal, Förster resonant energy transfer (FRET) takes place, exhibiting spontaneous emission from A. In contrast, upon strong pumping, stimulated emission occurs before FRET, generating lasing action from D. Lasing occurs with single- and dual-vibronic levels, and the lasing wavelength can be modulated by the doping amount of A. Time-resolved spectroscopic studies reveal that the rate constant of lasing is more than 20 times greater than that of FRET. Furthermore, microcrystals, vertically grown on a Ag-coated substrate, reduce the lasing threshold by one-fourth. This study proposes possible directions toward organic solid FRET lasers with microcrystalline resonators.

Chem. Commun. 2018, 54, 2534-2537.
“A fluorescent microporous crystalline dendrimer discriminates vapour molecules”
発光性マイクロポーラスデンドリマー結晶による蒸気分子の識別
Abstract: A self-assembled crystalline microporous dendrimer framework (MDF) exhibits novel turn-on and ratiometric fluorescence upon exposure to solvent vapours. The donor-acceptor character, combined with the large surface area (> 650 m2 g–1), allows the MDF to discriminate vapours of volatile solvents with turn-on and color change of photoluminescence.

Mater. Chem. Front. 2018, 2, 270-274.
“FRET-mediated near infrared whispering gallery modes: studies on the relevance of intracavity energy transfer with Q-factor”
FRETを介した近赤外WGM:球体内エネルギー移動とQ値の関連性
Abstract: Near infrared (NIR) optical microsphere resonators are prepared by coassembly of energy-donating and accepting conjugated polymers. In the microspheres, fluorescence resonance energy transfer occurs, leading to sharp and periodic photoluminescence from whispering gallery modes in the NIR region with Q-factors as high as 600.

J. Phys. Chem. Lett. 2017, 8, 4580-4586.
“From Linear to Foldamer and Assembly: Hierarchical Transformation of a Coplanar Conjugated Polymer into a Microsphere”
リニアーからフォルダマーを介して集合化:平面状共役ポリマーの階層的構造変形による球体形成
Abstract: Despite the coplanar structure, a conjugated alternating copolymer forms amorphous, well-defined microspheres without π-stacked crystalline domains. Here, we gain insights into the mechanism of how the coplanar conjugated polymer forms amorphous microspheres by means of spectroscopic studies on the assembly/disassembly processes. The difference of the spectral profiles of photoabsorption and photoluminescence with varying the solvent/nonsolvent composition clarifies that stepwise assembly takes place through the microsphere formation; [1] intrapolymer linear-to-folding transformation upon diffusion of polar nonsolvent and [2] interpolymer assembly of the foldamers upon further addition of the nonsolvent to form microspheres. As shown in various biopolymers such as proteins and DNA, such stepwise folding and assembly behaviors of conjugated polymers from primary to secondary and tertiary structure open a new way to create transformable functional materials.

Adv. Opt. Mater. 2017, 5, 1700123/1-7.
“Low-Threshold Whispering Gallery Mode Lasing from Self-Assembled Microspheres of Single-Sort Conjugated Polymers”
単一の共役ポリマーからなる自己組織化球体からの低閾値WGMレーザー発振
Abstract: Low-threshold organic microlasers are demanded for advanced optical applications such as nano/micrometer scale memory, sensing, and communication tools, and further valuable for future electrically-driven laser applications. In this paper, we demonstrate that various highly-fluorescent conjugated polymers self-assemble to form single-component microspheres that exhibit, upon femtosecond pumping to a single microsphere, whispering gallery mode (WGM) lasing with blue, green, and red emission colors. In particular, the microsphere consisting of polyfluorene shows the lowest threshold fluence as low as 1.5 μJ cm^–2 and high photostability against successive pumping of > 10^5 pulse. The threshold fluence was further reduced by one fourth (0.37 μJ cm^–2) by mounting the microspheres on a Ag-coated substrate, where a mirror effect of the Ag layer enhances efficiency of the PL confinement with a minor effect of plasmonic near field. Considering the intrinsic charge injection and transport properties, π-conjugated polymer microsphere resonators will be possible materials for electrically pumped WGM luminescence.

ACS Appl. Mater. Interfaces 2017, 9, 9996-10002.
“Peptide Cross-linkers: Immobilization of Platinum Nanoparticles Highly Dispersed on Graphene Oxide Nanosheets with Enhanced Photocatalytic Activities”
ペプチドクロスリンカー:酸化グラフェン表面への白金ナノ粒子の高分散な固定化と増強光触媒効果
Abstract: For exerting potential catalytic and photocatalytic activities of metal nanoparticles (MNPs), immobilization of MNPs on a support medium in highly dispersed state is desired. In this article, we demonstrated that surfactant-free platinum nanoparticles (PtNPs) were efficiently immobilized on graphene oxide (GO) nanosheets in a highly dispersed state by utilizing oligopeptide β-sheets as a cross-linker. The fluorenyl-substituted peptides were designed to form β-sheets, where metal-binding thiol groups and protonated and positively charged amino groups are integrated on the opposite sides of the surface of a β-sheet, which efficiently bridge PtNPs and GO nanosheet. In comparison to PtNP/GO composite without the peptide linker, the PtNP/peptide/GO ternary complex exhibited excellent photocatalytic dye degradation activity via electron transfer from GO to PtNP and simultaneous hole transfer from oxidized GO to the dye. Furthermore, the ternary complex showed photoinduced hydrogen evolution upon visible light irradiation using a hole scavenger. This research provides a new methodology for the development of photocatalytic materials by a bottom-up strategy on the basis of self-assembling features of biomolecules.

Chem. Lett. 2017, 46, 423-425.
“Controlled Self-Assembly of Oligopeptides Bearing Electron Donor and Acceptor Units on the Side Chains to Form β-Sheets with Selective π-Stacking Configuration”
電子供与体および受容体を側鎖に有するオリゴペプチドの自己組織化による選択的なπスタック様式をもつβシート形成
Abstract: We describe the β-sheet formation from heptapeptides bearing one electron-donating free-base porphyrin and two electron-accepting naphthalenediimides on the side chains. The porphyrin units in the resultant β-sheet fibers form J- or H-type aggregates, depending on the protonated state of the porphyrin unit in the assembling process.

Polym. J. 2016, 48, 1045-1050.
“Spherical resonators from π-conjugated polymers” (Focus Review)
π共役ポリマーからなる球体共振器
Abstract: Optical resonators play an important role in optical devices; they confine, sharpen, and amplify light. Self-assembled polymer resonators are advantageous for their simple, low-cost, and low-energy fabrication processes. In this Focus Review, we show recent advances in the self-assembly of π-conjugated polymers to form microspheres that act as optical resonators. The key factors in sphere assembly are low crystallinity of the polymers and slow diffusion of polar nonsolvent during the assembling process. Focused laser excitation of a single isolated microsphere excites whispering gallery modes (WGMs), in which sharp and periodic lines are observed in the photoluminescence (PL) spectrum; these are characterized as transverse electric and magnetic modes. Efficient intrasphere energy transfer occurs in the case of microspheres composed of energy-donating and -accepting polymer blends. Furthermore, WGM-mediated long-range intersphere PL propagation and subsequent color conversion were observed in the case of linearly coupled microspheres. Conjugated polymer microspheres are beneficial as optical resonators in terms of their high refractive indices, high absorptivity, and high PL efficiency, which are achieved by using simple fabrication processes.

ACS Nano 2016, 10, 7058-7063.
“Color-Tunable Resonant Photoluminescence and Cavity-Mediated Multistep Energy Transfer Cascade”
発光色を変調可能な共鳴発光とキャビティーを介した多段階エネルギー移動カスケード
Abstract: Color-tunable resonant photoluminescence (PL) was attained from polystyrene microspheres doped with a single polymorphic fluorescent dye, boron-dipyrrin (BODIPY) 1. The color of the resonant PL depends on the assembling morphology of 1 in the microspheres, which can be selectively controlled from green to red by the initial concentration of 1 in the preparation process of the microspheres. Studies on intersphere PL propagation with multicoupled microspheres, prepared by micromanipulation technique, revealed that multistep photon transfer takes place through the microspheres, accompanying energy transfer cascade with stepwise PL color change. The intersphere energy transfer cascade is direction selective, where energy donor-to-acceptor down conversion direction is only allowed. Such cavity-mediated long-distance and multistep energy transfer will be advantageous for polymer photonics device application.

RSC Adv. 2016, 6, 52854-52857.
“Self-assembled polycarbazole microspheres as single-component, white-colour resonant photoemitters”
単一の構成要素で白色共鳴発光を示す自己組織化ポリカルバゾールマイクロ球体
Abstract: Self-assembled polycarbazole (PCz) microspheres exhibit whispering gallery mode photoluminescence (PL), where resonant PL lines appear at the whole visible spectral range. The ultra-wide-range PL results from a partial oxidation of PCz upon strong photoexcitation. The single component micro-photoemitters, preparable with simple and inexpensive process, is applicable as full-colour, narrow-width light emission sources.

Chem. Lett. 2016, 45, 1024-1026.
“Enwrapping Conjugated Polymer Microspheres with Graphene Oxide Nanosheets”
酸化グラフェンナノシートによる共役ポリマー球体の被覆
Abstract: Water-dispersible conjugated polymer microspheres were obtained by enwrapping with graphene oxide (GO) nanosheets. Simply mixing the polymer microspheres and GO in water results in an exclusive formation of GO-wrapped microspheres. Photoluminescence (PL) spectra of the GO-wrapped single microsphere show whispering gallery modes, in which the PL lines are broadened in comparison with bare microspheres without GO. The broadening is attributed to scattering and reabsorption of the confined PL.

ACS Nano 2016, 10, 5543-5549.
“Conjugated Polymer Blend Microspheres for Efficient, Long-Range Light Energy Transfer”
効率的で長距離の光エネルギー移動が可能な共役ポリマーブレンドマイクロ球体
Abstract: Highly luminescent π-conjugated polymeric microspheres were fabricated through self-assembly of energy-donating and energy-accepting polymers and their blends. To avoid macroscopic phase separation, the nucleation time and growth rate of each polymer in the solution were properly adjusted. Photoluminescence (PL) studies showed that efficient donor-to-acceptor energy transfer takes place inside the microspheres, revealing that two polymers are well-blended in the microspheres. Focused laser irradiation to a single microsphere excites whispering gallery modes (WGMs), where PL generated inside the sphere is confined and resonates. The wavelengths of the PL lines are finely tuned by changing the blending ratio, accompanying the systematic yellow-to-red color change. Furthermore, when several microspheres are coupled linearly, the confined PL propagates the microspheres through the contact point, and a cascade-like process converts the PL color while maintaining the WGM characteristics. The self-assembly strategy for the formation of polymeric nano- to microstructures with highly miscible polymer blends will be advantageous for optoelectronic and photonic device applications.

Thin Solid Films 2016, 603, 408-412.
“Enhancement of grain size and crystallinity of thin layers of pentacene grown under magnetic field”
磁場下で成長したペンタセン薄膜におけるグレインサイズと結晶性の向上
Abstract: Field-effect mobilities (µ) of pentacene films, prepared by a thermal deposition under a magnetic field (H-field), were largely enhanced, in comparison with that prepared without an H-field. Under a perpendicular H-field with respect to the substrate surface, the crystallinity of the edge-on pentacene orientation is enhanced, resulting in the 9-fold enhancement of µ. Furthermore, under parallel H-field with respect to the substrate surface, µ of the pentacene films were 23-fold greater than that prepared without the H-field. The surface morphology studies by atomic force microscopy of the ultra thin films of pentacene clarified that the grain size of the pentacene at the interface with the substrate is larger for films under parallel H-field than that prepared without an H-field. The simple and effective method for enhancing the semiconducting properties of the organic thin films gives high technological impact in its application to organic electronics.

Sci. Rep. 2016, 6, 19635/1-6.
“Optically induced mode splitting in self-assembled, high quality-factor conjugated polymer microcavities”
高いQ値を示す自己組織化共役ポリマーマイクロ共振器における光誘起モード分裂
Abstract: We investigate the whispering gallery modes (WGMs) of self-assembled single microspheres. They consist of a recently developed highly fluorescent π-conjugated copolymer and exhibit excellent optical properties with Q-factors up to 10^4. Under continuous laser irradiation, we observe a splitting of the highly degenerate spherical WGMs into a multiplet of lines. Comparison with the calculated spectral response of a weakly distorted sphere shows that the optical excitation induces a change of the optical path length in the microcavity so that it resembles a prolate spheroid. The separation of the lines is given by the ellipticity and the azimuthal mode number. Measurements in various gaseous environments suggest that the distortion is caused by light induced oxidation of the polymer. Our findings show that photooxidation can be a beneficial mechanism for in-situ tuning of optically active polymer structures.

J. Mater. Chem. A 2015, 3, 17612-17619.
“Cysteine-containing oligopeptide β-sheets as redispersants for agglomerated metal nanoparticles”
凝集した金属ナノ粒子を再分散させるシステイン含有オリゴペプチドβシート
Abstract: Oligopeptide β-sheets comprising fluorenyl methoxy carbonyl (Fmoc) group on its N-terminus and five amino acid residues of cysteine, lysine and valine displays redispersive properties of agglomerated metal nanoparticles (MNPs, M = Au, Cu, Pt and Pd). The ligand-free MNPs prepared by laser ablation technique in liquid keep high dispersion state due to the inherent surface charges delivered by anionic species present in solution but may agglomerate after the preparation which depends on concentration or salinity. We show how the agglomerated MNPs can be returned to the dispersive state by adding the Fmoc-oligopeptide β-sheets in methanol, which is characterized by photoabsorption spectroscopy and transmission electron microscopy. Systematic studies varying the concentration, the amino acid sequences and secondary structures of a series of the oligopeptides clarify that the β-sheet structure is essential for the redispersion of the MNPs, where metal-binding thiol groups are integrated on one side and positively charged amino groups are located on the other side of the β-sheet. A possible mechanism for the redispersion may be that the agglomerated MNPs are subsequently enwrapped by the flexible β-sheets and gradually separated due to the reconstruction of peptide β-sheets under the assembly/disassembly equilibrium.

Macromolecules 2015, 48, 3928-3933.
“Whispering Gallery Resonance from Self-Assembled Microspheres of Highly Fluorescent Isolated Conjugated Polymers”
高発光性孤立π共役高分子の自己組織化マイクロ球体からのウィスパリングギャラリー共鳴
Abstract: Self-assembly of highly fluorescent isolated conjugated polymers (ICPs), comprising alternating phenylene moieties with an insulating cyclic side chain and different arylene moieties, was comprehensively studied. Two out of nine ICPs were identified to form well-defined spheres of 1–6 μm diameter. The degree of twisting of the main chains was found to be an important structural factor enabling formation of spheres, for which dihedral angles >50° between the neighboring arylene moieties were required. A single microsphere with high sphericity exhibited whispering gallery mode (WGM) photoemission upon excitation with a focused laser. In this emission, sharp and periodic emission lines were superimposed on a broad photoemission spectrum. The WGM spectral profiles were very sensitive to the integrity of the spherical geometries and surface smoothness, which depends on the self-assembling condition as well as the structure of the polymer backbone. Microspherical optical resonators consisting of such highly fluorescent conjugated polymers are novel. They also present advantages in that (i) there is no need for a light waveguide and fluorescent-dye doping, (ii) its high refractive index is beneficial for light confinement, and (iii) the fabrication process is simple, not requiring sophisticated, costly microfabrication technology.

Macromolecules 2015, 48, 2570-2575.
“Colloidal Crystallization and Ionic Liquid Induced Partial β-Phase Transformation of Poly(vinylidene fluoride) Nanoparticles”
ポリフッ化ビニリデンナノ粒子によるコロイド結晶化とイオン液体誘起による部分的β相化
Abstract: Colloidal crystallization of poly(vinylidene fluoride) (PVDF) nanoparticles (NPs) and its β-phase transformation were studied. The pristine PVDF NPs with an average diameter of 230 nm consist of 46% α-phase and 54% amorphous PVDF. The PVDF NPs were assembled on a quartz substrate by means of vertical deposition method from a tetrahydrofuran dispersion of PVDF NPs with a few volume percentage of n-alkane. The resultant colloidal thin films displayed a pale-greenish structural color with the selective reflection at around 550 nm wavelength due to closely packed PVDF NPs. The colloidal thin films were immersed into an acetonitrile solution containing 2 wt % ionic liquid, subsequently air-dried, and thermally annealed at 140 °C, just below the melting point of the PVDF–IL blends. After annealing, the PVDF NPs partially transformed into its β-phase with the volume percentages of α-, β-, and amorphous phases of 22, 32, and 46%, respectively. The postannealed colloidal films still maintained the face-centered-cubic assembling structure of PVDF NPs, thus displaying the greenish structural color and selective reflection.

Chem. Commun. 2015, 51, 1206-1209.
“Translation of Assembling Trajectory by Preorganisation: A Study of the Magnetic Properties of 1D Polymeric Unpaired Electrons Immobilised on a Discrete Nanoscopic Scaffold”
事前組織化による集合化軌跡の翻訳:ナノサイズの土台へ固定した1次元不対電子ポリマーの磁気特性
Abstract: A nitronyl nitroxide (NN)-appended hexabenzocoronene (HBCNN), when allowed to coassemble with bis(hexafluoroacetylacetonato)cobalt(II), forms a coaxial nanotubular architecture featuring NN-Co(II) coordinated copolymer chains immobilised on the outer and inner nanotube surfaces. Upon lowering the temperature, this nanotube has enhanced magnetic susceptibility below 10 K.

Asian J. Org. Chem. 2014, 3, 1182-1188.
“Charge-Separated Fmoc-Peptide β-Sheets: Sequence-Secondary Structure Relationship for Arranging Charged Side Chains on Both Sides”
電荷分離型Fmocペプチドβシート:荷電側鎖を両面に配置するためのシーケンスと2次構造の関連性
Abstract: β-Sheet formation from fluorenylmethoxycarbonyl (Fmoc)-substituted polar oligopeptides was demonstrated, where acidic and basic side chains are located separately on either side of the β-sheet surfaces. For yielding such charge-separated β-sheets, self-assembly of 18 pentapeptides was studied, all of which contain glutamic acid (E), lysine (K), and valine (V). Fmoc-pentapeptides containing one E and one K all formed fibrillar nanostructures consisting of stacked β-sheets. On the other hand, Fmoc-pentapeptides containing two E and two K formed β-sheet fibrils only when V was located at the center and separated two EK pairs. Photoluminescence studies of these peptides in a glycine buffer containing thioflavin T revealed a clear relationship between the amino acid sequence and secondary structure, where the location of neutral V plays a pivotal role for the β-sheet formation. The β-sheet formation propensity was further supported by computer simulation studies with the TANGO algorithm.

Sci. Rep. 2014, 4, 5902/1-5.
“Self-Assembled Conjugated Polymer Spheres as Fluorescent Microresonators”
発光性共振器としての自己組織化共役系高分子マイクロ球体
Abstract: Confinement of light inside an active medium cavity can amplify emission. Whispering gallery mode (WGM) is one of mechanisms that amplifies light effectively by confining it inside high-refractive-index microstructures, where light propagates along the circumference of a sphere via total internal reflection. Here we show that isolated single microspheres of 2–10 μm diameter, formed from self-assembly of π-conjugated alternating copolymers, display WGM photoemission induced by laser pumping. The wavelengths of the emission peaks depend sensitively on the sphere size, position of the excitation spot and refractive index of each polymer. The Q-factor increases with increasing sphere diameter and displays a linear correlation with the reciprocal radius, indicating that the small curvature increases the efficacy of the total internal reflection. WGM photoemission from π-conjugated polymer microspheres is unprecedented and may be of high technological impact since the microspheres fulfill the role of fluorophores, high-refractive-index media and resonators simultaneously, in addition to their simple fabrication process.

Thin Solid Films 2014, 562, 467-470.
“Control of Molecular Orientation and Morphology in Organic Bilayer Solar Cells: Copper Phthalocyanine on Gold Nanodots”
有機積層太陽電池内の分子配向と形状制御:金ナノドット上の銅フタロシアニン
Abstract: Molecular orientation, morphology of donor (D)/acceptor (A) interface and photoabsorptivity in organic bilayer solar cells were controlled using Au nanodots with ~20 nm diameter inserted between the bottom electrode and the organic layer. Copper phthalocyanine (CuPc) molecules deposited onto the Au nanodot-coated electrode were mostly oriented face-on with large surface roughness, which is beneficial for photoabsorption, charge separation and transport. Furthermore, Au nanodots exhibit blue-shifted plasmon bands so that CuPc absorbs light more efficiently than that on thin Au layer. Bilayer C60/CuPc solar cells containing Au nanodots exhibited 1.4 times higher photoelectric conversion efficiency than those without Au nanodots. Factors for the enhanced efficiency are (i) improvement of the optical absorption characteristics by face-on orientation of CuPc and (ii) increase of the D/A heterointerface area. In addition, the shift of the plasmon absorption band of Au by the formation of nanodots makes absorption of the CuPc layer much more efficiently, resulting in better photovoltaic output.

Polym. Chem. 2014, 5, 3583-3587.
“Tetramethylbithiophene in π-Conjugated Alternating Copolymers as Effective Structural Component for the Formation of Spherical Assemblies”
球状集合体形成のための効果的な構造要素としてのパイ共役交互共重合体中のテトラメチルビチオフェン
Abstract: π-Conjugated alternating copolymers containing a tetramethylbithiophene unit show a strong tendency to form well-defined, sub- to several-micrometer-sized spheres. The twisted bithiophene unit inhibits interchain stacking and anisotropic crystal growth of these copolymers, leading to the formation of structurally isotropic spheres by means of a slow diffusion of nonsolvent into a solution of the copolymers. These micrometer-sized spheres display extremely long photocarrier lifetimes (~ 10^-3 s) in comparison with cast films from the solutions of the polymers and those of the irregular aggregates (< 10^-6 s).

Appl. Phys. Lett. 2013, 103, 043301/1-4.
“Magnetic-field-induced enhancement of crystallinity and field-effect mobilities in phthalocyanine thin films”
磁場誘起によるフタロシアニン薄膜の結晶性と電界効果移動度の向上
Abstract: Organic semiconductor thin films were fabricated by thermal deposition of free-base and metal phthalocyanines under a static magnetic field. A vertical magnetic field enhanced the crystallinity of the edge-on orientation of the phthalocyanine discs, whereas a horizontal magnetic field had a minimal effect on the crystallinity. The major factor for the orientation change is attributed to the diamagnetic anisotropies of p -electrons in the phthalocyanine macrocycles. Field-effect transistors of phthalocyanine films fabricated under a vertical magnetic field exhibited better hole mobilities and on-current values with smaller threshold voltages than those of phthalocyanine films fabricated without a magnetic field.

J. Am. Chem. Soc. 2013, 135, 870-876.
“Spherical Assemblies from π-Conjugated Alternating Copolymers: Toward Optoelectronic Colloidal Crystals”
パイ共役交互共重合ポリマーからの球状集合体:光電子機能をもつコロイド結晶の実現に向けて
Abstract: Self-assembly of conducting polymers, which are often used as photoabsorbing, charge-transporting, and photoemission layers of organic photovoltaic and light-emitting devices, were comprehensively studied by means of slow precipitation from polymer solutions upon addition of a vapor of nonsolvents. Polymers such as polyfluorene and polythiophene having a single monomer component hardly formed defined and discrete objects but only gave ill-defined aggregates. In contrast, alternating copolymers typically having both fluorene and thiophene components in their repeating unit self-assembled into well-shaped spheres with diameters ranging from several hundreds of nanometers to several micrometers. Such clear differences in terms of the assembling geometries derive from the rigidity and crystallinity of the polymers, where the copolymers possess large steric hindrance on their backbone that reduces planarity of the polymers and inhibits anisotropic crystal growth, leading to the formation of structurally isotropic spheres. Changing the assembling parameters can systematically control diameter and deviation of the spheres. Furthermore, photocarrier lifetimes of the spheres were markedly enhanced by more than three orders of magnitude in comparison with those of cast films from their solutions. This research gives a useful guide for preparation of colloidal crystals from π-conjugated polymers toward their optoelectronic applications.

Angew. Chem. Int. Ed. 2012, 51, 8490-8494.
“Discotic Ionic Liquid Crystals of Triphenylene as Dispersants for Orienting Single-Walled Carbon Nanotubes”
カーボンナノチューブを配向可能な分散剤としてのディスク状イオン液晶
Abstract: Triphenylene-based discotic ionic liquid crystals (ILCs) with six imidazolium ion pendants can disperse pristine single-walled carbon nanotubes (SWNTs) 2–3 orders of magnitude better than reported LCs. When ILC is columnarly assembled, doping with SWNTs results in homeotropic columnar orientation up to a macroscopic length scale. Combination of shear and annealing treatments gives rise to three different states in terms of the orientations of the LC columns and SWNTs, where the anisotropy of electrical conduction is determined predominantly by whether SWNTs are unidirectionally oriented or not.

J. Am. Chem. Soc. 2012, 134, 2524–2527.
“Segregated and Alternately Stacked Donor/Acceptor Nanodomains in Tubular Morphology Tailored with Zinc Porphyrin-C60 Amphiphilic Dyads: Clear Geometrical Effects on Photoconduction”
亜鉛ポルフィリンーフラーレン連結分子の自己組織化による、チューブ状構造体への分離積層型および交互積層型D/Aナノドメインの選択的作りわけと明確な光伝導性への影響
Abstract: Amphiphilic zinc porphyrin (PZn; electron donor, D)–fullerene (C60; electron acceptor, A) dyads 2 and 3, bearing an identical hydrophilic wedge with triethylene glycol chains but different linkers between the PZn and C60 units, self-assemble into nanotubes with essentially different dimensional and geometrical features from one another. The nanotube from dyad 2 with an ester linker consists of a bilayer wall formed with coaxially segregated D and A nanodomains along the tube axis (coaxial D–A heterojunction), thereby displaying explicit photoconductivity with ambipolar carrier transport properties. In contrast, the nanotube from dyad 3 with a rigid arylacetylene linker consists of a monolayer wall with an alternate geometry of D/A stacking, resulting in poor photoconducting outputs. Such a geometrical difference also significantly affects the photovoltaic properties.

Sci. Technol. Adv. Mater. 2012, 51, 13, 033001/1-15. (Review)
“Programmed Self-Assembly of Large π-Conjugated Molecules into Electroactive One-Dimensional Nanostructures”
大きなπ共役分子の電子活性1次元ナノ構造へのプログラム自己組織化
Abstract: Electroactive one-dimensional (1D) nano-objects possess inherent unidirectional charge and energy transport capabilities along with anisotropic absorption and emission of light, which are of great advantage for the development of nanometer-scale electronics and optoelectronics. In particular, molecular nanowires formed by self-assembly of π-conjugated molecules attract increasing attention for application in supramolecular electronics. This review introduces recent topics related to electroactive molecular nanowires. The nanowires are classified into four categories with respect to the electronic states of the constituent molecules: electron donors, acceptors, donor–acceptor pairs and miscellaneous molecules that display interesting electronic properties. Although many challenges still remain for practical use, state-of-the-art 1D supramolecular nanomaterials have already brought significant advances to both fundamental chemical sciences and technological applications.

Bull. Chem. Soc. Jpn. 2011, 84, 17-25. (Account)
“Electroactive Nanotubes from π-Conjugated Discotic Molecules”
パイ共役ディスク状分子からなる電子活性ナノチューブ
Abstract: Self-assembly of π-conjugated molecules is attractive for construction of well-defined, nanometer-scale electroactive materials. This account describes our developments on self-assembled nanotubes from Gemini-shaped hexa-peri-hexabenzocoronenes (HBCs). At first, detailed molecular arrangement in the nanotube is presented, which is perfectly revealed by a synchrotron radiation X-ray diffraction analysis of a macroscopic fiber consisting of highly aligned HBC nanotubes. Next, electroconductive properties of the HBC nanotubes are investigated. By means of direct current and noncontact methods, anisotropic charge-transport properties in the nanotubes are confirmed. The effect of the surface oligoether chains on intertubular conduction is also examined by field-effect transistor measurements. Finally, optoelectronic applications are developed by constructing newly designed nanotubes. These nanotubes possess a coaxial configuration, where an electron-donating graphitic bilayer of π-stacked HBC arrays is laminated by an electron accepting molecular layer. Due to the molecular-layer donor/acceptor heterojunction, the nanotubes exhibit remarkable photoconduction and photovoltaic outputs. Furthermore, the optoelectronic properties are modulated by changing the density of electron acceptors on the nanotube surfaces by coassembly of multiple components or utilizing photochromism. These results will advance to electronic and optoelectronic applications of supramolecular nanomaterials.

